Hakkımda
Sertifikalar
Projeler
Yapay Zeka Destekli Hatalı Parça Tespit Sistemi
Buck Converter Tasarımı | Altium Designer PCB
ABB IRB 1600 Robot Kol Kontrolü
El Tabanlı Ses Kontrol Uygulaması
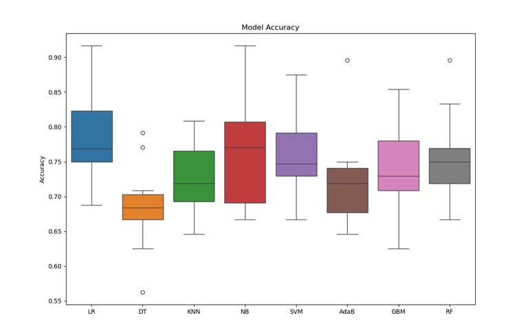
Yapay Zeka ile Diyabet Risk Tahmini
Astronomik Zaman Saati Projesi - ESP32
Yapay Zeka ile Müzik Türü Sınıflandırma
Erasmus+ Forum Diyalog Projesi
AI Destekli Rapor & Teklif Oluşturucu
Hakkımda
Sertifikalar
Projeler
Yapay Zeka Destekli Hatalı Parça Tespit Sistemi
Buck Converter Tasarımı | Altium Designer PCB
ABB IRB 1600 Robot Kol Kontrolü
El Tabanlı Ses Kontrol Uygulaması
Yapay Zeka ile Diyabet Risk Tahmini
Astronomik Zaman Saati Projesi - ESP32
Yapay Zeka ile Müzik Türü Sınıflandırma
Erasmus+ Forum Diyalog Projesi
AI Destekli Rapor & Teklif Oluşturucu
Veri analizi ve makine öğrenimi tekniklerini kullanarak diyabet riskini tahmin etmek amaçlandı.
Yapay Zeka ile Diyabet Risk Tahmini
Detaylar için Github